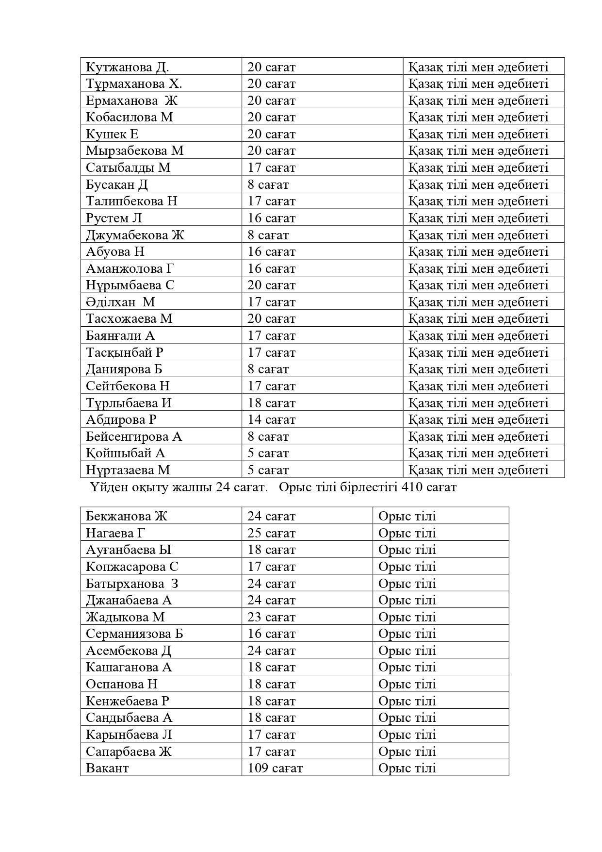
Хаттама №1. 2023ж. » Қарасай ауданы «Алтын ауыл орта мектеп мектепке дейінгі шағын орталықпен» коммуналдық мемлекеттік мекемесі
Алматы облысы
Қарасай ауданы білім бөлімінің
"Алтын ауыл орта мектебі"
коммуналдық мемлекеттік мекемесі
Қабылдау бөлімі :
+7(72) 43-50-93
Есепші бөлімі:
+7(72) 43-50-93
Нашар көрушілер
нұсқасы

Похожие публикации:

08 январь 2024 Хаттама №2. 2023ж.
22 сентябрь 2023 Хаттама
13 октябрь 2023 Хаттама
11 сентябрь 2023 Хаттама
11 сентябрь 2023 Хаттама
Прокомментировать
  • bowtiesmilelaughingblushsmileyrelaxedsmirk
    heart_eyeskissing_heartkissing_closed_eyesflushedrelievedsatisfiedgrin
    winkstuck_out_tongue_winking_eyestuck_out_tongue_closed_eyesgrinningkissingstuck_out_tonguesleeping
    worriedfrowninganguishedopen_mouthgrimacingconfusedhushed
    expressionlessunamusedsweat_smilesweatdisappointed_relievedwearypensive
    disappointedconfoundedfearfulcold_sweatperseverecrysob
    joyastonishedscreamtired_faceangryragetriumph
    sleepyyummasksunglassesdizzy_faceimpsmiling_imp
    neutral_faceno_mouthinnocent
Введите код с картинки:* Кликните на изображение чтобы обновить код, если он неразборчив